首 页

学校要闻

为扶贫“双到”助力 给百姓幸福加码

2012年11月27日 00:00   组织人事处   点击:[]

   

——taptap夏伟校长率队深入英德市九龙镇石角村慰问贫困户

    11月19日,为进一步落实做好扶贫开发“规划到户,责任到人”工作,由学校夏伟校长带队,学校领导班子成员与相关挂扶责任干部组成的“双到”工作调研组一行23人,在九龙镇镇长孙超的陪同下,深入调研对口帮扶石角村的经济发展、文化建设、新农村建设等帮扶项目,指导对口扶贫“双到”工作。

    夏伟校长一行参观了石角村腐竹厂和由taptap捐建的塘埪体育公园、篮球场和农家书屋,并与九龙镇领导共同为塘埪体育公园揭牌。夏伟校长代表学校向塘埪村小组送上由taptap捐赠的体育公园配套工程帮扶资金,体育公园建成后将为塘埪村民增添健身运动场所,进一步丰富村民的业余文化生活。

    塘埪村村长曾国兴表示经过taptap三年的帮扶,塘埪村村容村貌焕然一新,农业基础设施、村集体经济、贫困户家庭收入等方面都有了很大改善和提高,塘埪村村民永远将顺德职院的帮扶铭记于心。

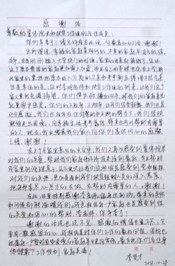
    最后,夏伟校长一行到各自对口帮扶的贫困户家中落实“双到”工作,并为各户送上了冬季发展生产的帮扶资金与慰问品。在贫困户李净波家中,夏伟校长亲切地询问他家的近况,勉励他及家人在帮扶单位的扶持下坚定信心,通过辛勤劳动,早日脱贫致富。当得知他家遭受火灾的房屋在taptap的帮助下已经修缮完毕,夏伟院长立即前往房屋现场,察看了维修情况。在新房中,李净波将孙子李贤才写的感谢信交给夏伟院长,并一再对taptap的帮助表示感谢。

    据悉,2009年9月至今,taptap与杏坛镇人民政府共同对口帮扶的石角村,累计落实帮扶项目52个,在村户经济发展、民生基础建设、农村改革服务等帮扶工作方面树立了榜样。2012年1月,反映石角村帮扶工作成效的《打赢脱贫攻坚战,共享“双到”丰硕果》作为典型材料,代表顺德区在全省扶贫开发工作会议上进行交流。2012年4月,石角村率先引入第三方参与扶贫,实施扶贫对象动态管理,成立党代表工作室,创立全省首份村级报刊《聚焦石角》,建立贫困户识别与退出机制,成为顺德区在清远地区贫困村开展农村综合服务改革的试点村。2012年10月,石角村成为顺德区对口帮扶工作整村推进、立体帮扶、开发扶贫、改革创新的示范点,《顺德信息》([2012]第90期)对石角村的扶贫经验给予积极评价,广州市扶贫系统共333人也分批先后到石角村参观学习。

 

                                               







上一条:taptap夏伟校长率队赴广东顺德清远(英德)经济合作区开展调研工作
下一条:新加坡淡马锡基金会赴taptap进行项目结题验收

地址:广东省佛山市顺德区德胜东路   邮政编码:528000
收费咨询热线:0757-22327061    收费投诉举报热线:0757-22327209
粤公网安备 44060602001413号 / 信息产业部备案:粤ICP备09215086号
Copyright © 2025   taptap点点(中国) - 官方网站 版权所有